您的位置:对照品 > 标准物质 > 标准样品 >
产品基本信息
产品编号:E325587
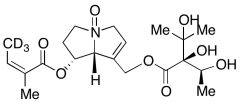
产品名称:(+)-Echimidine N-Oxide-D3
产品CAS:
规格含量:25mg
产品价格:面议
联系我们:
产品详细介绍
标准品编号:
E325587
名称:
(+)-Echimidine N-Oxide-D3
别名:
1,5-Dideoxy-2-C-methyl-3-C-[[[(1R,7aR)-2,3,5,7a-tetrahydro-1-[[(2Z)-2-methyl-1-oxo-2-buten-1-yl]oxy]-4-oxido-1H-pyrrolizin-7-yl]methoxy]carbonyl]-L-threo-pentitol-D3; [1R-[1α(Z),7(2R*,3S*),7aβ]]-2-methyl-2-Butenoic Acid 7-[[2,3-Dihydroxy-2-(1-hydroxyethyl)-3-methyl-1-oxobutoxy]methyl]-2,3,5,7a-tetrahydro-1H-pyrrolizin-1-yl Ester N-Oxide-D3;
参考CAS:
未标记:41093-89-4
分子式:
C₂₀H₂₈D₃NO₈
分子量:
416.48
种类:
Building Blocks; Isotopic Labeled Analogues;
应用:
(+)-Echimidine N-Oxide-D3 is a labelled analogue of (+)-Echimidine N-Oxide (E325585), a hepatotoxic pyrolizidine alkaloid that is present in honey, pollen, and comfrey tea leaves.
参考文献
Cao, Y., et al.: J. Food Comp. Anal., 29, 106 (2013); Hirono, I., et al.: J. Nat. Cancer Inst., 63, 469 (1979); Oberlies, N., et al.: Pub. Health Nut., 7, 919 (2004)