欢迎光临:莱耀标准品网!
 您的位置:对照品 > 标准物质 > 标准样品 >
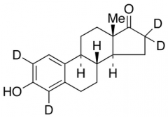
Estrone-d4
产品基本信息
产品编号:E889052
产品名称:Estrone-d4
产品CAS:53866-34-5
规格含量:50mg
产品价格:面议
联系我们:
产品详细介绍
标准品编号: E889052
名称: Estrone-d4
别名: 3-Hydroxyestra-1,3,5(10)-trien-17-one-d4; (+)-Estrone-d4; 1,3,5(10)-Estratrien-3-ol-17-one-d4; 3-Hydroxy-17-keto-estra-1,3,5-triene-d4; Aquacrine-d4; Crinovaryl-d4; Cristallovar-d4; Crystogen-d4; WAY 164397-d4; Wynestron-d4;
CAS号: 53866-34-5
参考CAS: 53-16-7-unlabelled
分子式: C₁₈H₁₈D₄O₂
外观: 白色至Pale Pink Solid
熔点: >210°C (dec.)
分子量: 274.39
储存: -20°C Freezer
溶解度: Chloroform (Slightly, Heated), DMSO (Sparingly), Methanol (Slightly, Heated)
种类: Standards; Steroids; Isotopic Labeled Analogues;
应用: Isotope labelled Estrone (E889050), which is a metabolite of 17β-Estradiol (E888000). During the metabolism, it is in rapid equilibrium with Estriol (E888960) and 17β-Estradiol (E888000) (1). Causes the feminization of male fish at human and animal waste sites (2). Drinking water contaminant candidate list 3 (CCL 3) compound as per United States Environmental Protection Agency (EPA), environmental, and food contaminants.
参考文献


2011-2018 信阳莱耀生物科技有限公司 版权所有

中检所标准品,对照品,标准气体
Keywords: 中检所标准品 对照品 标准气体