欢迎光临:莱耀标准品网!
 您的位置:对照品 > 标准物质 > 标准样品 >
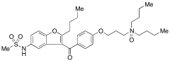
Dronedarone N-Oxide
产品基本信息
产品编号:D679450
产品名称:Dronedarone N-Oxide
产品CAS:1638586-56-7
规格含量:50mg
产品价格:面议
联系我们:
产品详细介绍
标准品编号: D679450
名称: Dronedarone N-Oxide
别名: N-Butyl-N-(3-(4-(2-butyl-5-(methylsulfonamido)benzofuran-3-carbonyl)phenoxy)propyl)butan-1-amine Oxide
CAS号: 1638586-56-7
分子式: C₃₁H₄₄N₂O₆S
分子量: 572.76
种类: Standards; Pharmaceutical/API Drug Impurities/Metabolites;
应用: Dronedarone N-Oxide is an impurity of Dronedarone (D679445, HCl); a drug used for the treatment of atrial fibrillation and atrial flutter in patients who have suffered cardiac arrhythmias.
参考文献


2011-2018 信阳莱耀生物科技有限公司 版权所有

中检所标准品,对照品,标准气体
Keywords: 中检所标准品 对照品 标准气体