您的位置:对照品 > 标准物质 > 标准样品 > |
|
|
|
| 产品基本信息 |
|
| 产品编号:D443882 |
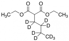
| 产品名称:Diethyl 2-n-Butylmalonate-d9 |
| 产品CAS:1189865-34-6 |
| 规格含量:50mg |
| 产品价格:面议 |
| 联系我们: |
|
|
|
|
|
| 产品详细介绍 |
| 标准品编号: |
D443882 |
| 名称: |
Diethyl 2-n-Butylmalonate-d9 |
| 别名: |
Butyl-malonic Acid Diethyl Ester-d9; Butyl-propanedioic Acid Diethyl Ester-d9; Butylpropanedioic Acid Diethyl Ester-d9; NSC 4565-d9; |
| CAS号: |
1189865-34-6 |
| 参考CAS号: |
类似: 133-08-4 |
| 分子式: |
C₁₁H₁₁D₉O₄ |
| 外观: |
Liquid |
| 熔点: |
130-135°C |
| 分子量: |
225.33 |
| 溶解性: |
Acetone, Chloroform, DMSO, Ethyl Acetate, Methanol |
| 种类: |
Building Blocks; Isotopic Labeled Analogues; Miscellaneous; |
| 应用: |
Diethyl 2-n-Butylmalonate-d9 (cas# 1189865-34-6) is a compound useful in organic synthesis. |
| 参考文献 |
|
|
|
|
|
|