您的位置:对照品 > 标准物质 > 一级标准物质 > |
|
|
|
| 产品基本信息 |
|
| 产品编号:N378013 |
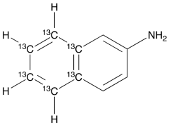
| 产品名称:2-Naphthylamine-13C6 |
| 产品CAS:1329834-19-6 |
| 规格含量:10mg |
| 产品价格:面议 |
| 联系我们: |
|
|
|
|
|
| 产品详细介绍 |
| 标准品编号: |
N378013 |
| 名称: |
2-Naphthylamine-13C6 |
| 别名: |
2-Aminonaphthalene-13C6; β-Naphthylamine-13C6; 2-Naphthalenamine-13C6; |
| CAS号: |
1329834-19-6 |
| 参考CAS号: |
类似: 91-59-8 |
| 分子式: |
C₄¹³C₆H₉N |
| 外观: |
Light Orange to Light Pink Solid |
| 熔点: |
102-104°C |
| 分子量: |
149.14 |
| 储存: |
冰箱, Under Inert Atmosphere |
| 溶解度: |
Chloroform (Slightly), Methanol (Slightly) |
| 种类: |
Standards; Isotopic Labeled Analogues; |
| 应用: |
It is listed as a known human carcinogen. Used in manufacturing of dyes, as antioxidant in rubber. |
| 危险品: |
Not a dangerous good if item is equal to or less than 1g/ml and there is less than 100g/ml in the package |
| 参考文献 |
|
|
|
|
|
|
|
|