您的位置:对照品 > 标准物质 > 一级标准物质 > |
|
|
|
| 产品基本信息 |
|
| 产品编号:M567050 |
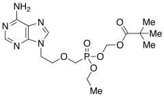
| 产品名称:Mono-POM Ethyl Adefovir |
| 产品CAS:142341-04-6 |
| 规格含量:25mg |
| 产品价格:面议 |
| 联系我们: |
|
|
|
|
|
| 产品详细介绍 |
| 标准品编号: |
M567050 |
| 名称: |
Mono-POM Ethyl Adefovir |
| 别名: |
Mono(pivaloyloxymethyl) Ethyl Adefovir; 2,2-Dimethylpropanoic Acid [[[[2-(6-amino-9H-purin-9-yl)ethoxy]methyl]ethoxyphosphinyl]oxy]methyl ester |
| CAS号: |
142341-04-6 |
| 分子式: |
C₁₆H₂₆N₅O₆P |
| 外观: |
淡黄色固体 |
| 熔点: |
68-70°C |
| 分子量: |
415.38 |
| 储存: |
Hygroscopic, -20°C Freezer, Under inert atmosphere |
| 溶解度: |
Chloroform (Slightly), Methanol (Slightly) |
| 稳定性: |
Moisture Sensitive |
| 种类: |
Standards; Pharmaceutical/API Drug Impurities/Metabolites; |
| 应用: |
An analogue of the antiviral drug Adefovir (A247500) with a mono-POM ester protecting group. |
| 参考文献 |
|
|
|
|
|
|