您的位置:对照品 > 标准物质 > 一级标准物质 > |
|
|
|
| 产品基本信息 |
|
| 产品编号:M515610 |
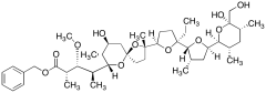
| 产品名称:Monensin Benzyl Ester |
| 产品CAS:127648-49-1 |
| 规格含量:25mg |
| 产品价格:面议 |
| 联系我们: |
|
|
|
|
|
| 产品详细介绍 |
| 标准品编号: |
M515610 |
| 名称: |
Monensin Benzyl Ester |
| 别名: |
1,6-Dioxaspiro[4.5]decane Monensin Derivative; (2S,3R,4S)-Benzyl 4-((2S,5R,7S,8R,9S)-2-((2S,2'R,3'S,5R,5'R)-2-Ethyl-5'-((2S,3S,5R,6R)-6-hydroxy-6-(hydroxymethyl)-3,5-dimethyltetrahydro-2H-pyran-2-yl)-3'-methyloctahydro-[2,2'-bifuran]-5-yl)-9-hydroxy-2,8-dimethyl-1,6-dioxaspiro[4.5]decan-7-yl)-3-methoxy-2-methylpentanoate |
| CAS号: |
127648-49-1 |
| 分子式: |
C₄₃H₆₈O₁₁ |
| 外观: |
White Foamy Solid |
| 分子量: |
760.99 |
| 溶解度: |
Chloroform; Dichloromethane, Ethyl Acetate, Methanol |
| 种类: |
Standards; Chiral Molecules; Others; Pharmaceutical/API Drug Impurities/Metabolites; Antibotics; |
| 应用: |
Monensin Benzyl Ester is an intermediate in synthesizing Monensin Sodium Salt (M515600), a polyether antibiotic and a coccidiostat. |
| 参考文献 |
|
|
|
|
|
|