欢迎光临:莱耀标准品网!
 您的位置:对照品 > 标准物质 > 一级标准物质 >
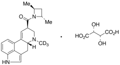
Lysergic Acid-d3 (2S,4S)-Dimethylazetidine L-Tartrate
产品基本信息
产品编号:L488022
产品名称:Lysergic Acid-d3 (2S,4S)-Dimethylazetidine L-Tartrate
产品CAS:
规格含量:10mg
产品价格:面议
联系我们:
产品详细介绍
标准品编号: L488022
名称: Lysergic Acid-d3 (2S,4S)-Dimethylazetidine L-Tartrate
别名: (2S,4S)-1-[[(8β)-9,10-Didehydro-6-(methyl-d3)ergolin-8-yl]carbonyl]-2,4-dimethylazetidine (2R,3R)-2,3-Dihydroxybutanedioate Salt;
参考CAS号: 470666-32-1-unlabelled
分子式: C₂₅H₂₈D₃N₃O₇
分子量: 488.55
种类: Standards; Isotopic Labeled Analogues; Pharmaceutical/API Drug Impurities/Metabolites;
应用: Labelled Lysergic Acid (2S,4S)-Dimethylazetidine (L488020). Lysergic Acid (2S,4S)-Dimethylazetidine is an analog of the potent hallucinogenic agent Lysergide (L488010). This is a controlled substance.
参考文献


2011-2018 信阳莱耀生物科技有限公司 @ 信阳埃尔文生物科技有限公司版权所有

中检所标准品,对照品,标准气体
Keywords: 中检所标准品 对照品 标准气体