您的位置:对照品 > 标准物质 > 一级标准物质 >
产品基本信息
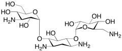
产品编号:K137495
产品名称:Kanamycin A
产品CAS:59-01-8
规格含量:250mg
产品价格:面议
联系我们:
产品详细介绍
标准品编号:
K137495
名称:
Kanamycin A
别名:
O-3-Amino-3-deoxy-α-D-glucopyranosyl-(1→6)-O-[6-amino-6-deoxy-α-D-glucopyranosyl-(1→4)]-2-deoxy-D-streptamine;4,6-Diamino-2-hydroxy-1,3-cyclohexane 3,6'-diamino-3,6'-dideoxydi-α-D-glucoside;KM; Kanacin; Kanamycin;
CAS号:
59-01-8
参考CAS号:
Disulfate: 64013-70-3Sulfate: 25389-94-0
分子式:
C₁₈H₃₆N₄O₁₁
外观:
白色至白色固体
熔点:
>175°C (dec.)
分子量:
484.5
储存:
冰箱
溶解度:
Methanol (Slightly, Sonicated), Water (Slightly)
种类:
Standards; Carbohydrates and Oligosaccharides;
应用:
Kanamycin A is an antibiotic complex produced by Streptomyces kanamyceticus Okami & Umezawa from Japanese soil. Comprised of three components, kanamycin A, the major component, and kanamycins B and C, two minor congeners. Antibacterial.
参考文献
Ito, et al.: J. Antibiot., 17, 189 (1964), Toda, S., et al.: J. Antibiot., 30, 1002 (1977), Claes, P.J., et al.: Anal. Profiles Drug. Subs., 6, 259 (1977),
Download MSDS File