欢迎光临:莱耀标准品网!
 您的位置:对照品 > 标准物质 > 一级标准物质 >
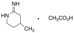
2-Imino-4-methylpiperidine, Acetate
产品基本信息
产品编号:I425500
产品名称:2-Imino-4-methylpiperidine, Acetate
产品CAS:165383-72-2
规格含量:10mg
产品价格:面议
联系我们:
产品详细介绍
标准品编号: I425500
名称: 2-Imino-4-methylpiperidine, Acetate
CAS号: 165383-72-2
参考CAS号: freebase: 165383-71-1
分子式: C₈H₁₆N₂O₂
熔点: 181-182°C
分子量: 178.22
种类: Research Tools; Molecular Biology; Enzyme Activators and Inhibitors;
应用: A potent inhibitor of human iNOS (hNOS II).
参考文献


2011-2018 信阳莱耀生物科技有限公司 @ 信阳埃尔文生物科技有限公司版权所有

中检所标准品,对照品,标准气体
Keywords: 中检所标准品 对照品 标准气体