欢迎光临:莱耀标准品网!
 您的位置:对照品 > 标准物质 > 一级标准物质 >
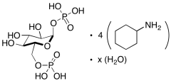
α-D-Glucose-1,6-biphosphate Tetra(cyclohexylammonium) Salt Hydrate
产品基本信息
产品编号:G596823
产品名称:α-D-Glucose-1,6-biphosphate Tetra(cyclohexylammonium) Salt Hydrate
产品CAS:
规格含量:2.5mg
产品价格:面议
联系我们:
产品详细介绍
标准品编号: G596823
名称: α-D-Glucose-1,6-biphosphate Tetra(cyclohexylammonium) Salt Hydrate
别名: alpha-D-Glucose-1,6-biphosphate Tetra(cyclohexylammonium) salt hydrate
参考CAS号: 71662-13-0
分子式: C₆H₁₄O₁₂P₂ • 4C ₆H₁₃N • x( H₂O)
分子量: 340.1249917
种类: Standards; Carbohydrates and Oligosaccharides;
应用: α-D-Glucose-1,6-biphosphate tetra(cyclohexylammonium) salt hydrate (cas# 71662-13-0) is a useful research chemical. Its free base form has been used in transition path sampling and molecular dynamic calculations into the catalytic mechanism of human phosphoglucomutase.
参考文献


2011-2018 信阳莱耀生物科技有限公司 @ 信阳埃尔文生物科技有限公司版权所有

中检所标准品,对照品,标准气体
Keywords: 中检所标准品 对照品 标准气体