您的位置:对照品 > 标准物质 > 一级标准物质 > |
|
|
|
| 产品基本信息 |
|
| 产品编号:D232100 |
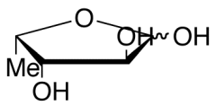
| 产品名称:5-Deoxy-L-arabinose |
| 产品CAS:13039-56-0 |
| 规格含量:1g |
| 产品价格:面议 |
| 联系我们: |
|
|
|
|
|
| 产品详细介绍 |
| 标准品编号: |
D232100 |
| 名称: |
5-Deoxy-L-arabinose |
| 别名: |
L-5-Deoxyarabinose; 5-Methyl-tetrahydro-furan-2,3,4-triol; |
| CAS号: |
13039-56-0 |
| 分子式: |
C₅H₁₀O₄ |
| 外观: |
Clear Yellow Sticky Oil |
| 分子量: |
134.13 |
| 储存: |
Hygroscopic, 冰箱保存, under inert atmosphere |
| 溶解性: |
DMSO (Slightly), Ethanol (Slightly), Methanol (Slightly) |
| 种类: |
Building Blocks; Carbohydrates and Oligosaccharides; |
| 应用: |
Shows strong inhibitory effect β-galactosidase of Escherichia coli. |
| 参考文献 |
|
|
|
|
|
|